
【医保类型】未纳入
【药品名称】
通用名称:富马酸吉瑞替尼片
商品名称:适加坦(XOSPATA)
英文名称:Gilteritinib Fumarate Tablets
【药品成份】
本品的活性成分为富马酸吉瑞替尼。
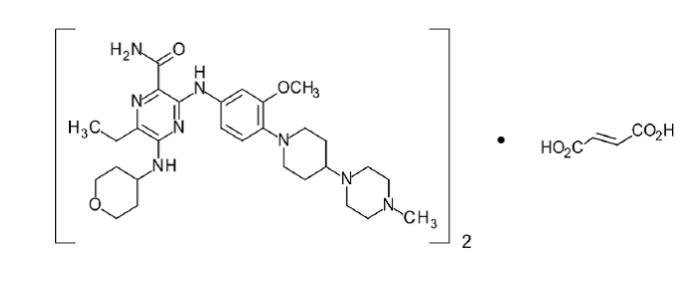
化学结构式:

分子式:(C29H44N8O3)2 • C4H4O4
分子量:1221.50
【药品性状】
本品为薄膜衣片,除去包衣后显淡黄色。
【适应症】
本品用于治疗采用经充分验证的检测方法检测到携带 FMS 样酪氨酸激酶 3 (FLT3)突变的复发性或难治性急性髓系白血病(AML)成人患者。
【规格】
40 mg(按 C29H44N8O3计)。
【用法用量】
用法:
本品口服使用。 伴餐或不伴餐均可。应整片用水送服,不得掰开或碾碎。
本品应在每天大约同一时间服用。如漏服或未在原计划时间服药,可以在 当日尽快服用,但应在下一次按计划服药的 12 小时前补服。次日应恢复按原计 划时间服药。如果在服药后发生呕吐,患者不应重复用药,但应在次日继续在 原计划时间服药。两次服药间隔时间不得短于 12 小时。
患者可在造血干细胞移植(HSCT)后重新开始使用本品。
用量:
富马酸吉瑞替尼片的推荐起始剂量为 120 mg(3×40 mg 片剂),每日一次, 每 28 天为一个治疗周期。本品的治疗应持续进行,直至患者不再有临床获益或 出现不可接受的毒性。由于临床缓解可能会延迟,因此,应考虑以处方剂量持 续治疗长达至 6 个治疗周期,确保有充分时间达到临床缓解。 如果治疗 4 周后未实现以下几种情形之一,则应在患者耐受或临床有保证的情况下,将剂量增至 200 mg(5×40 mg 片剂)每日一次:
1、完全缓解(CR,定义见【临床试验】表 3 脚注);
2、除血小板恢复不完全[血小板<100 × 109/L],其他标准达到完全缓解(CRp);
3、除仍有中性粒细胞减少症[中性粒细胞<1 × 109/L],伴或不伴血小板完全恢复,其他标准达到完全缓解(CRi)。
【不良反应】
吉瑞替尼最常见(发生率≥10%)的所有等级不良反应为:
丙氨酸氨基转移酶(ALT)升高(25.4%)、天冬氨酸氨基转氨酶(AST)升高(24.5%)、贫血(20.1%)、血小板减少症(13.5%)、中性粒细胞减少性发热(12.5%)、血小板计数减少(12.2%)、腹泻(12.2%)、恶心(11.3%)、血碱性磷酸酶升高(11%)、疲乏(10.3%)、白细胞计数减少(10%)、血肌酸磷酸激酶升高(10%)。
吉瑞替尼最常见的(发生率≥3%)严重不良反应为:
中性粒细胞减少性发热(7.5%)、谷丙转氨酶ALT升高(3.4%)和谷草转氨酶AST升高(3.1%)。其他具有临床意义的严重不良反应包括心电图QT间期延长(0.9%)和可逆性后部脑病综合征(0.3%)。
吉瑞替尼所有的副作用和不良反应有:



【孕妇及哺乳期妇女用药】
有生育能力女性/男性和女性避孕:
建议有生育能力的女性在本品开始治疗前7天内进行妊娠试验。建议有生育能力的女性在治疗期间以及治疗后6个月内采取有效避孕措施(导致妊娠率低于1%的避孕方法)。建议有生育能力的男性在本品治疗期间以及末次给药后至少4个月内采取有效避孕措施。
妊娠:
妊娠期妇女服用本品可对胎儿造成伤害。没有关于妊娠期妇女使用本品治疗的数据或数据有限。大鼠生殖研究显示,本品可抑制胎仔生长、导致胚胎胎仔死亡和致畸(见【药理毒理】)。不建议妊娠期和有生育能力但未采取有效避孕措施的女性使用本品。
哺乳:
尚不清楚本品及其代谢产物是否会分泌至人乳汁中。已有动物数据显示,本品及其代谢产物经哺乳期大鼠的乳汁排泄,并通过乳汁分布至大鼠幼崽的组织中(见【药理毒理】)。
无法排除本品治疗对母乳喂养婴儿的风险。在本品治疗期间及末次给药后至少2个月内停止哺乳。
生育力:
尚缺乏本品治疗对人生育能力影响的数据。
【儿童用药】
本品在18岁以下儿童患者中的安全性和有效性尚未确定。
【老年用药】
在参加本品临床试验的319例患者中,43%为65岁或65岁以上的老年人,13%为75岁或75岁以上的老年人。在65岁或65岁以上老年患者及年轻患者中未发现有效性或安全性的总体差异。
【药物过量】
无针对本品的特定解毒剂。由于本品半衰期长(约为113小时),如果发生药物过量,必须密切监测患者的不良反应体征或症状,并应启动适当的对症和支持性治疗。
【贮藏】
避光,密封,25℃以下保存。
【包装】
聚氯乙烯固体药用硬片和药用铝箔热合密封包装。42片/盒,21片/板×2板。
【有效期】
48个月
【执行标准】
JX20210004
【批准文号】
国药准字HJ20210009
【药品上市许可持有人】
企业名称:Astellas Pharma Inc.
注册地址:5-1, Nihonbashi-Honcho 2-chome, Chuo-ku, Tokyo 103-8411, Japan
【生产企业】
企业名称:Astellas Pharma Tech Co.,Ltd. Yaizu Technology Center
生产地址:180 Ozumi,Yaizu-shi, Shizuoka 425-0072, Japan
【医保类型】未纳入
【药品名称】
通用名称:富马酸吉瑞替尼片
商品名称:适加坦(XOSPATA)
英文名称:Gilteritinib Fumarate Tablets
【药品成份】
本品的活性成分为富马酸吉瑞替尼。
化学结构式:

分子式:(C29H44N8O3)2 • C4H4O4
分子量:1221.50
【药品性状】
本品为薄膜衣片,除去包衣后显淡黄色。
【适应症】
本品用于治疗采用经充分验证的检测方法检测到携带 FMS 样酪氨酸激酶 3 (FLT3)突变的复发性或难治性急性髓系白血病(AML)成人患者。
【规格】
40 mg(按 C29H44N8O3计)。
【用法用量】
用法:
本品口服使用。 伴餐或不伴餐均可。应整片用水送服,不得掰开或碾碎。
本品应在每天大约同一时间服用。如漏服或未在原计划时间服药,可以在 当日尽快服用,但应在下一次按计划服药的 12 小时前补服。次日应恢复按原计 划时间服药。如果在服药后发生呕吐,患者不应重复用药,但应在次日继续在 原计划时间服药。两次服药间隔时间不得短于 12 小时。
患者可在造血干细胞移植(HSCT)后重新开始使用本品。
用量:
富马酸吉瑞替尼片的推荐起始剂量为 120 mg(3×40 mg 片剂),每日一次, 每 28 天为一个治疗周期。本品的治疗应持续进行,直至患者不再有临床获益或 出现不可接受的毒性。由于临床缓解可能会延迟,因此,应考虑以处方剂量持 续治疗长达至 6 个治疗周期,确保有充分时间达到临床缓解。 如果治疗 4 周后未实现以下几种情形之一,则应在患者耐受或临床有保证的情况下,将剂量增至 200 mg(5×40 mg 片剂)每日一次:
1、完全缓解(CR,定义见【临床试验】表 3 脚注);
2、除血小板恢复不完全[血小板<100 × 109/L],其他标准达到完全缓解(CRp);
3、除仍有中性粒细胞减少症[中性粒细胞<1 × 109/L],伴或不伴血小板完全恢复,其他标准达到完全缓解(CRi)。
【不良反应】
吉瑞替尼最常见(发生率≥10%)的所有等级不良反应为:
丙氨酸氨基转移酶(ALT)升高(25.4%)、天冬氨酸氨基转氨酶(AST)升高(24.5%)、贫血(20.1%)、血小板减少症(13.5%)、中性粒细胞减少性发热(12.5%)、血小板计数减少(12.2%)、腹泻(12.2%)、恶心(11.3%)、血碱性磷酸酶升高(11%)、疲乏(10.3%)、白细胞计数减少(10%)、血肌酸磷酸激酶升高(10%)。
吉瑞替尼最常见的(发生率≥3%)严重不良反应为:
中性粒细胞减少性发热(7.5%)、谷丙转氨酶ALT升高(3.4%)和谷草转氨酶AST升高(3.1%)。其他具有临床意义的严重不良反应包括心电图QT间期延长(0.9%)和可逆性后部脑病综合征(0.3%)。
吉瑞替尼所有的副作用和不良反应有:



【孕妇及哺乳期妇女用药】
有生育能力女性/男性和女性避孕:
建议有生育能力的女性在本品开始治疗前7天内进行妊娠试验。建议有生育能力的女性在治疗期间以及治疗后6个月内采取有效避孕措施(导致妊娠率低于1%的避孕方法)。建议有生育能力的男性在本品治疗期间以及末次给药后至少4个月内采取有效避孕措施。
妊娠:
妊娠期妇女服用本品可对胎儿造成伤害。没有关于妊娠期妇女使用本品治疗的数据或数据有限。大鼠生殖研究显示,本品可抑制胎仔生长、导致胚胎胎仔死亡和致畸(见【药理毒理】)。不建议妊娠期和有生育能力但未采取有效避孕措施的女性使用本品。
哺乳:
尚不清楚本品及其代谢产物是否会分泌至人乳汁中。已有动物数据显示,本品及其代谢产物经哺乳期大鼠的乳汁排泄,并通过乳汁分布至大鼠幼崽的组织中(见【药理毒理】)。
无法排除本品治疗对母乳喂养婴儿的风险。在本品治疗期间及末次给药后至少2个月内停止哺乳。
生育力:
尚缺乏本品治疗对人生育能力影响的数据。
【儿童用药】
本品在18岁以下儿童患者中的安全性和有效性尚未确定。
【老年用药】
在参加本品临床试验的319例患者中,43%为65岁或65岁以上的老年人,13%为75岁或75岁以上的老年人。在65岁或65岁以上老年患者及年轻患者中未发现有效性或安全性的总体差异。
【药物过量】
无针对本品的特定解毒剂。由于本品半衰期长(约为113小时),如果发生药物过量,必须密切监测患者的不良反应体征或症状,并应启动适当的对症和支持性治疗。
【贮藏】
避光,密封,25℃以下保存。
【包装】
聚氯乙烯固体药用硬片和药用铝箔热合密封包装。42片/盒,21片/板×2板。
【有效期】
48个月
【执行标准】
JX20210004
【批准文号】
国药准字HJ20210009
【药品上市许可持有人】
企业名称:Astellas Pharma Inc.
注册地址:5-1, Nihonbashi-Honcho 2-chome, Chuo-ku, Tokyo 103-8411, Japan
【生产企业】
企业名称:Astellas Pharma Tech Co.,Ltd. Yaizu Technology Center
生产地址:180 Ozumi,Yaizu-shi, Shizuoka 425-0072, Japan


【依嘉】注射用盐酸依拉环素,价格¥2160.00,购买药店北京美信康年大药房,
【上海第一生化】注射用硫酸多黏菌素B(多粘菌素) 价格¥660.00,购买药店北
【吉泰瑞】马来酸阿法替尼片 价格¥960.00,购买药店 北京美信康年大药房,使
【艾克立康】伏立康唑片,价格¥965.00,购买药店北京美信康年大药房,适应症
【立威】伏立康唑片,价格¥165.00,购买药店北京美信康年大药房,适应症适应
【立威】伏立康唑片,价格¥365.00,购买药店北京美信康年大药房,其适应症如
【泰吉华】阿伐替尼片 价格¥39600,购买药店 北京美信康年大药房 使用说明书
【恒森】注射用米卡芬净钠,价格¥196.00,购买药店北京美信康年大药房,适应
【上海上药新亚】注射用硫酸黏菌素(粘菌素),价格¥2060.00,购买药店北京美
【天韵】注射用多黏菌素E甲磺酸钠(多粘菌素),价格¥1860.00,购买药店北京
【泰定平】注射用头孢他啶阿维巴坦钠,价格¥1160.00,购买药店北京美信康年
【普贝希】贝伐珠单抗注射液,价格¥1160.00,购买药店北京美信康年大药房有
【利鲁平】利拉鲁肽注射液,价格¥396.00,购买药店北京美信康年大药房,适应
【天普洛安/天普药业】注射用乌司他丁,价格¥1160.00元/盒,购买药店北京美信
【融致】脾多肽注射液,价格¥1560.00元/盒,购买药店北京美信康年大药房,适
【蓉生静丙】静注人免疫球蛋白(pH4) 价格¥960.00,购买药店 北京美信康年大药房
【卫士】静注人免疫球蛋白(PH4)价格¥960.00,北京美信康年大药房年有售,适
【伽玛莱士】静注人免疫球蛋白 (pH4) 价格¥960.00,购买药店 北京美信康年大药
【奥德金】小牛血清去蛋白注射液,价格¥36.50元/支,购买药店北京美信康年大
【奥德金】小牛血清去蛋白肠溶胶囊价格¥96.00,购买药店 北京美信康年大药房
【恩维达】恩沃利单抗注射液,价格¥2260.00,购买药店北京美信康年大药房,适
【Baxter 百特】人血白蛋白,价格¥560.00,购买药店北京美信康年大药房,适应症
【耐立克】奥雷巴替尼片价格¥14900.00,购买药店 北京美信康年大药房, 使用说
【 安卫力® ;EXKIVITY®】琥珀酸莫博赛替尼胶囊 ,价格¥36000,购买药店 北京美
【优赫得/Enhertu】注射用德曲妥珠单抗,价格¥9600.00,购买药店北京美信康年大
泽珂(阿比特龙片)价格¥6690.00,购买药店北京美信康年大药房,使用说明书 转
【爱通立】注射用阿替普酶价格¥2360.00,购买药店 北京美信康年大药房,使用
【可申达/Kerendia】非奈利酮片,价格¥186.00,购买药店北京美信康年大药房,适
【新欧泊】注射用两性霉素B,价格¥126.00,购买药店北京美信康年大药房
【艾瑞利】阿得贝利单抗注射液,价格¥9600.00,购买药店北京美信康年大药房,
【升福达】苹果酸舒尼替尼胶囊,价格¥1460.00,购买药店北京美信康年大药房,
【晴尼舒】苹果酸舒尼替尼胶囊,价格¥2660.00,购买药店北京美信康年大药房,
【雅美罗】托珠单抗注射液价格¥1560.00,购买药店 北京美信康年大药房,使用
【安博美】人血白蛋白 价格¥560.00,购买药店 北京美信康年大药房,适应症1、
【杰特贝林 】人血白蛋白 价格¥560.00,购买药店 北京美信康年大药房,使用说
【圣华曦】注射用美罗培南价格 价格¥360.00,北京美信康年大药房有售,适应症
【爱宣奥】泊沙康唑肠溶片价格¥2560.00,购买药店 北京美信康年大药房, 使用
【爱宣奥】泊沙康唑注射液价格¥760.00,购买药店 北京美信康年大药房, 使用
【茁乐/Xolair】奥马珠单抗注射液,价格¥1660.00,购买药店 北京美信康年大药房
【希必可® / CIBINQO®】阿布昔替尼片,价格¥1316.00,购买药店 北京美信康年大药
【伽玛莱士】静注人免疫球蛋白 (pH4) 价格¥1960.00,购买药店 北京美信康年大药
【茁乐】注射用奥马珠单抗价格¥1560.00,购买药店 北京美信康年大药房,使用
【BLEOCIN】注射用盐酸博来霉素(博莱霉素),价格¥426.00,购买药店北京美信康
【首祈】曲氟尿苷替匹嘧啶片 价格¥2960.00,购买药店 北京美信康年大药房,适
【诺科飞】泊沙康唑肠溶片价格¥3456.00,购买药店 北京美信康年大药房,使用
灵芝菌合剂 福建永燠制药价格¥,购买药店 北京美信康年大药房,使用说明书
【普罗力/Prolia】地舒单抗注射液 价格¥960.00,购买药店 北京美信康年大药房,
【赛贝舒】苹果酸舒尼替尼胶囊,价格¥1560.00,购买药店北京美信康年大药房,
|
产品名称 依嘉 通用名:注射用盐酸依拉环素 剂型:注射剂/瓶 规格:50mg 零售价:2160.00元/瓶 会员价:2150.00元/瓶 生产企业:美国EVEREST MEDICINES (SINGAPORE) PTE. LTD. |
产品名称 上海上药第一生化 通用名:注射用硫酸多黏菌素B 剂型:注射剂/瓶 规格:50万单位 零售价:660.00元/瓶 会员价:650.00元/瓶 生产企业:上海上药第一生化药业有限公司 |
产品名称 乐沙定 通用名:注射用奥沙利铂 剂型:注射剂/瓶 规格:50mg 零售价:1360.00元/瓶 会员价:1350.00元/瓶 生产企业:赛诺菲-安万特 |
友情链接